明日叶的茎与叶主要抗氧化成分含量及抗氧化性比较
研究地点:
- 上海交通大学农业与生物学院,陆伯勋食品安全研究中心,上海
- 贵阳护理职业学院,贵州贵阳
- 上海交通大学医学院,上海
摘 要
研究目的及方法:
*AD:关于明日叶,免费咨询更多,添加微信:156440577
以明日叶茎杆与叶子为研究对象,在测定其乙醇提取物总酚酸及总黄酮含量的基础上,以芦丁为阳性对照,测定其乙醇提取物总抗氧化能力,铁离子还原/抗氧化力,以及对超氧阴离子自由基、羟基自由基、DPPH有机自由基的清除作用,并对茎杆与叶子乙醇提取物进行抗氧化活性比较。
结果表明:
叶乙醇提取物总酚酸和总黄酮的含量分别是茎乙醇提取物的2.2倍和5.2倍。在总黄酮质量浓度相同的条件下,叶乙醇提取物和茎乙醇提取物的抗氧化活性均与其总黄酮质量浓度呈正相关,且叶乙醇提取物的抗氧化性大于茎乙醇提取物。与芦丁相比较,芦丁对羟基自由基的清除能力大于叶乙醇提取物,其他抗氧化活性均小于叶乙醇提取物而大于茎乙醇提取物。
结果表明,明日叶的叶乙醇提取物可以作为一种新型有效的天然抗氧化物质进行开发利用。
关键词:明日叶,总酚酸,总黄酮,抗氧化活性,清除率
明日叶(AngelicakeiskeiKoidzumi)原产于日本八丈岛,属伞形科当归2年生或多年生草本植物,岛上居民多食用明日叶,均很长寿,因此又名长寿菜、八丈芹、海峰人参等。明日叶含多种天然活性物质,营养丰富均衡,作为一种药食兼用的蔬菜备受关注,现今在韩国、台湾以及我国海南、云南、山东等地已广泛种植。近年来的一些研究报道表明,明日叶富含黄酮类物质,具有增强免疫力、防癌抗癌、降血脂、抗糖尿病、抗炎消炎等功效。目前国内明日叶总黄酮提取工艺和检测方法已有文献报道,对明日叶不同组织部位如茎杆与叶子抗氧化活性组分含量测定分析以及抗氧化性比较研究鲜有报道。
*AD:免费领取明日叶30粒,添加微信:156440577
本实验测定明日叶茎和叶乙醇浸提物主要抗氧化成分总酚酸和总黄酮的含量,并分析了其抗氧化活性。
1 材料与方法
1.1 材料与试剂
明日叶(上海交通大学农业与生物学院种植实验基地)。T-AOC测定试剂盒、抗超氧阴离子自由基及产生超氧阴离子自由基测试盒(南京建成生物工程研究所);原儿茶酸(上海源叶生物科技有限公司);福林酚试剂(海荔达生物科技有限公司);芦丁标准品(纯度>98%,上海融禾医药科技有限公司);无水乙醇、Al(NO3)3、NaNO2、NaOH、NaHCO3、FeSO4等,均为分析纯。
1.2 仪器与设备
RT-25粉碎机(北京兴时利和科技发展有限公司);DK-S26电热恒温水浴锅(上海精宏实验设备有限公司);EPPENDOF5810R离心机(上海肯强仪器有限公司);DU800uv/vis分光光度计(美国Beck-manCoulter公司);旋转蒸发器(上海青浦沪西仪器厂);FD-1A-50冷冻干燥机(北京博医康实验仪器公司)。
1.3 实验方法
*AD:选购明日叶种子、种苗等,基地直发,添加微信:156440577
1.3.1 明日叶茎与叶乙醇提取物的制备
明日叶用水洗净,置于-20℃冷冻24h,然后冷冻干燥22h,得到脱水明日叶。将脱水明日叶茎杆和叶子分开,分别制备乙醇提取物。明日叶茎和叶分别采用超低温液氮粉碎的方法粉碎,并过100目筛,得到干燥粉末。按质量体积比1∶10(g∶mL)将干燥粉与体积分数为65%的乙醇溶液混合,45℃水浴加热15min浸提,浸提液在4℃,8000r/min离心20min,取上清液置于圆底烧瓶中,在42℃、0.1MPa下进行旋转蒸馏去除乙醇,剩余浸提液冷冻干燥,得到茎和叶乙醇提取物粉末(抗氧化活性分析样品,简称样品)。
1.3.2 明日叶茎和叶乙醇提取物中抗氧化活性组分的含量测定
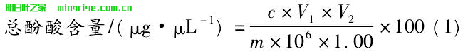
1.3.2.1 总酚酸含量测定
总酚酸含量测定采用Folin-Ciocalteu法。原儿茶酸标准曲线制作:准确秤取原儿茶酸10mg,用体积分数为95%乙醇溶解,配成200μg/mL原儿茶酸标准液。准确取原儿茶酸标准液0.5,1.0,1.5,2.0,2.5,3.0,3.5,4.0,4.5,5.0mL分别置于25mL容量瓶中,用乙醇稀释定容。将1.5mL福林试剂分别加到1mL以上不同浓度原儿茶酸溶液中,混匀静置5min,然后加3mLNa2CO3溶液(10g/100mL),混匀,在50℃的水浴中加热5min,室温下避光静置2h,以试剂空白作参比,在760nm波长下测定吸光度A。以原儿茶酸质量浓度c(μg/mL)为横坐标,吸光度值A为纵坐标,绘制标准曲线,得标准曲线回归方程A=0.0983c,R2=0.9932。
总酚酸含量测定:取5mg样品,用体积分数65%乙醇溶解,定量转移至50mL容量瓶,配成100μg/mL待测液备用。取1mL待测液,按标准曲线建立的方法测定吸光度A,根据(1)式求出样品液总酚酸含量。

式中:c为标准曲线回归方程计算出的总酚酸质量浓度(μg/mL);1.00为加入待测液体积(mL);V1总酚酸测定反应体系总体积(mL);V2为待测液总体积(mL);m为样品质量(g)。
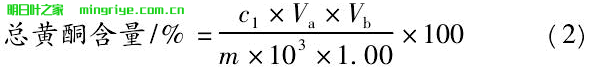
1.3.2.2 总黄酮含量测定
总黄酮含量测定采用硝酸铝-亚硝酸钠比色法。芦丁标准曲线绘制:准确取芦丁标准溶液(0.2mg/mL)0.00、0.20、0.40、0.60、1.00、1.20mL,分别置于10mL容量瓶中,加入质量分数5%NaNO20.4mL,摇匀,放置6min,再加入质量分数10%Al(NO3)30.4mL,摇匀,放置6min,再加入质量分数5%NaOH4mL,加水至刻度,摇匀,放置15min,以试剂空白作为参比,在510nm处测定吸光度Y,以芦丁质量浓度X(mg/mL)为横坐标,吸光度Y为纵坐标绘制标准曲线,得到芦丁吸光度与浓度的标准曲线回归方程Y=6.7558X-0.0036,R2=0.9942。
总黄酮含量测定:取0.01g样品,用体积分数65%乙醇溶解,定量转移至10mL容量瓶,配成1mg/mL待测液备用。取1mL待测液液,按标准曲线建立的方法测定吸光度,计算样品液总黄酮含量。

式中:c1为样品的总黄酮质量浓度(mg/mL);Va显色反应总体积(mL);Vb为样品待测液体积(mL);1.00为显色反应加入样品溶液体积(mL);m为样品质量(g)。
1.3.3 总抗氧化能力测定
取10g明日叶的叶片乙醇浸提物粉,用体积分数65%乙醇溶解,配250mL溶液,测定其吸光度为2.901,根据芦丁标准曲线回归方程换算叶样液总黄酮质量浓度为4.27mg/mL。取15g明日叶的茎乙醇浸提物粉,同样方法配成100mL溶液,测得其吸光度为2.110,茎样液总黄酮质量浓度为3.17mg/mL。将上述2种样液准确稀释为0.1、0.3、0.5、1.0、1.5、2.0、2.5mg/mL不同浓度溶液,以芦丁为对照样,采用总抗氧化能力(T-AOC)测定试剂盒法测定样品总抗氧化能力。抗氧化物质能使Fe3+还原成Fe2+,后者可与菲啉类物质形成稳定的络合物,通过比色可测出抗氧化能力的大小。具体操作参照南京建成生物工程研究所提供的总抗氧化能力(T-AOC)测定试剂盒说明书。
单位定义:在37℃时,每分钟每毫升被测液使反应体系的吸光度(OD)值每增加0.01时,为1个总抗氧化能力单位(U/mL)。根据(3)式求出样品总抗氧化能力。

1.3.4 铁离子还原法(FRAP)测定抗氧化活性
FRAP工作液配制(现用现配):用300mmol/LpH3.6的醋酸盐缓冲液,10mmol/LTPTZ溶液(40mmol/LHCl配制),20mmol/LFeCl3·6H20溶液按10∶1∶1体积比配制而成。
FeSO4标准曲线的绘制:分别取浓度为0、0.2、0.4、0.6、0.8和1.0mmol/L的FeSO4溶液各0.5mL,加入4.5mLFRAP工作液,混匀后,37℃水浴反应10min,超纯水调零,在593nm处测定其吸光度,以浓度为横坐标,吸光度为纵坐标,绘制标准曲线。
样品的抗氧化活性(FRAP值)以达到相同吸光度所需Fe-SO4的毫摩尔数表示。样品抗氧化活性的测定:将叶、茎2种样液准确稀释为0.01、0.05、0.1、0.2、0.4、0.5mg/mL溶液,用绘制FeSO4标准曲线同样方法测定不同浓度样品吸光度,应用标准曲线换算出FRAP值。芦丁为对照样。
1.3.5 超氧阴离子的清除能力测定
模拟机体中黄嘌呤与黄嘌呤氧化酶反应系统,产生超氧阴离子自由基O2-·,加入电子传递物质及gress氏显色剂,使反应体系呈现紫红色。将叶、茎2种样液准确稀释为0.1、0.3、0.5、0.8、1.0mg/mL溶液,以芦丁为对照样,采用抗超氧阴离子自由基及产生超氧阴离子自由基测定试剂盒测定法测定吸光度,根据(4)式求出样品超氧阴离子的清除能力。具体操作参照南京建成生物工程研究所提供的抗超氧阴离子自由基及产生超氧阴离子自由基测定试剂盒说明书。
在反应系统中,每升样液在37℃反应40min所抑制的超氧阴离子自由基相当1mg的Vc所抑制的超氧阴离子自由基的变化值为1个活力单位(U/L)。

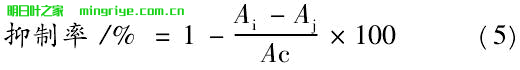
1.3.6 DPPH自由基的清除能力测定
取2mL0.01、0.02、0.03、0.04、0.05mg/mL不同浓度样液,分别加入2mL0.04mg/mL的DPPH溶液,混合均匀,暗处放置30min,在波长517nm处测其吸光度为Ai,取2mL上述浓度的样液,各加入2mL无水乙醇,相同条件下测其吸光度为Aj,2mL无水乙醇与2mL0.04mg/mL的DPPH溶液混合均匀,相同条件下测其吸光度为AC。根据(5)式求出样品DPPH自由基的清除能力。

其中:Ai,加抗氧剂时DPPH溶液的吸光度;Aj,样液在测定波长时的吸光度;Ac,未加抗氧剂时DP-PH溶液的吸光度。
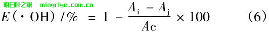
1.3.7 羟基自由基的清除能力测定
取2mL0.1、0.2、0.5、0.8、1.0mg/mL不同浓度样液,各加入2mL2mmol/L的FeSO4溶液、2mL6mmol/LH2O2,静置10min,再加2mL6mmol/L水杨酸混匀,37℃水浴反应20min,510nm处测其吸光度为Ai。同样方法,双蒸水代替水杨酸测得吸光度为Aj,双蒸水代替样液测得吸光度为Ac。据(6)式求出样品对羟基自由基的清除能力。

2 结果与分析
2.1 明日叶茎与叶乙醇提取物抗氧化成分含量分析
现已证明很多疾病的发生与发展与自由基对组织细胞的损坏有密切的关系。植物来源的酚酸类化合物和黄酮类化合物都具有良好的抗氧化性。由表1可知,明日叶茎和叶乙醇提取物总酚酸含量和总黄酮含量都比较高,但叶子中含量更高,其总酚酸含量和总黄酮含量分别是茎的2.2倍和5.2倍。
| 表1 明日叶茎与叶乙醇提取物总酚酸和总黄酮含量
Table 1 Contents of total phennolic and total flavonoids of leaves and stem ethanol extracts from Angelica keiskei Koidzmi |
||
| 明日叶部位 | 总酚酸含量/% | 总黄酮含量/% |
| 叶 | 12. 36 ± 0. 18 | 10. 18 ± 0. 23 |
| 茎 | 5. 59 ± 0. 021 | 1. 96 ± 0. 018 |
2.2 明日叶茎与叶乙醇提取物总抗氧化能力分析
由图1可知,明日叶茎与叶乙醇提取物总抗氧化能力较强,均强于具有抗氧化活性的标准物质芦丁。总黄酮含量与总抗氧化能力呈正相关,并在叶和茎乙醇提取物总黄酮质量浓度相同的条件下,叶的总抗氧化性大于茎。黄酮结构复杂,种类繁多,不同结构黄酮抗氧化能力也不同。明日叶叶所含的总黄酮种类和茎可能不完全相同,所以在总黄酮质量浓度相同条件下,两者抗氧化性有所不同。

图 1 明日叶茎与叶乙醇提取物的总抗氧化能力
2.3 明日叶茎与叶乙醇提取物铁离子还原/抗氧化力分析
FRAP法测定抗氧化活性的原理是:TPTZ(Fe3+-三吡啶三吖嗪)可被样品中的还原物质还原为二价铁形式,呈现出蓝色,并在590nm处具有最大吸收峰。根据吸光度大小计算抗氧化活性强弱。
按1.3.4方法得到标准品FeSO4标准曲线的回归方程为:Y=2.0109x+0.1136(R2=0.9883)。明日叶茎与叶乙醇提取物FRAP值见图2。由图2可知,FRAP值与明日叶茎、叶乙醇浸提物总黄酮质量浓度成正相关。在总黄酮质量浓度相同的情况下,明日叶叶乙醇提取物抗氧化性强于茎乙醇提取物。与芦丁相比,抗氧化性能力大小顺序为明日叶叶乙醇提取物>芦丁>明日叶茎乙醇提取物。

图2 明日叶茎与叶乙醇提取物的 FRAP 值
2.4 明日叶茎与叶乙醇提取物清除超氧阴离子能力分析
自由基是指独立带有不成对价电子的原子、分子、离子或化学基团。生物体内常见的自由基是氧自由基,其中超阴离子氧自由基O2-·形成最早,黄酮对不同的氧自由基的作用机理不同,对O2-·的作用机理是阻止自由基的引发。由图3可知,明日叶茎与叶乙醇提取物有较强清除超氧阴离子能力,其总黄酮质量浓度与清除O2-·的清除率成正相关。在总黄酮含量相同的情况下,明日叶叶乙醇提取物清除率大于茎乙醇提取物。与芦丁相比,清除率大小顺序为明日叶叶乙醇提取物>芦丁>明日叶茎乙醇提取物。

图 3 明日叶茎与叶乙醇提取物对超氧阴离子
2.5 明日叶茎与叶乙醇提取物清除羟基自由基能力分析
羟基自由基是氧自由基中危害最大的,黄酮对羟基自由基的作用机理与对O2-·的作用机理不一样,它是与金属离子螯合阻止羟基自由基生成。由图4可知,明日叶茎与叶乙醇提取物有较强清除羟基自由基能力,其总黄酮质量浓度与清除羟基自由基的清除率成正相关。总黄酮浓度相同的条件下,叶乙醇提取物对羟基自由基清除率大于茎乙醇提取物。与芦丁相比,清除率大小顺序为芦丁>明日叶叶乙醇提取物>明日叶茎乙醇提取物。

图 4 明日叶茎与叶乙醇提取物对羟基自由基的清除作用
2.6 明日叶茎与叶乙醇提取物清除DPPH自由基能力分析
DPPH是一种稳定的有机自由基,其乙醇溶液呈紫色,在517nm处有最大吸收峰。当DPPH溶液中加入自由基清除剂时,孤对电子被配对,颜色由紫色变向黄色,吸光度发生变化。吸光度变化程度与清除自由基能力呈定量关系,所以可用分光光度法进行定量测定。由图5可知,明日叶茎与叶乙醇提取物对DPPH自由基清除能力较强,总黄酮质量浓度相同的条件下,叶乙醇提取物对DPPH·清除率大于茎乙醇提取物,与芦丁相比较,清除率大小顺序为明日叶叶乙醇提取物>芦丁>明日叶茎乙醇提取物。
3 结论
(1)明日叶的叶、茎乙醇提取物总酚酸和总黄酮含量分别为12.36%、5.59%和10.18%、1.96%,结果说明明日叶叶子组织部分比其茎杆部分含有更高的植物抗氧化活性物质。

图 5 明日叶茎与叶乙醇提取物对 DPPH•的清除作用
(2)明日叶的叶乙醇提取物和茎乙醇提取物的抗氧化活性均与其总黄酮质量浓度呈正相关,在总黄酮质量浓度相同的条件下,叶乙醇提取物的抗氧化性大于茎乙醇提取物,与芦丁相比,除了清除羟基自由基能力芦丁强于明日叶叶,其余方面的抗氧化性明日叶的叶乙醇提取物要强于芦丁,这个研究结果表明作为抗氧化产品开发,明日叶叶乙醇提取物更具有开发利用价值。
*AD:购买明日叶茶、明日叶粉,十年品牌,品质护航,添加微信:156440577
